1、介紹
對包括AT和SC切割爐控制晶體振蕩器( OCXO )以及溫度補償晶體振蕩器( TCXO )在內的幾種類型的石英晶體振蕩器進行了非常長時間尺度的老化測量。)盡管每個OCXO在生產中都會老化,但數據通常只在滿足老化率規范所需的時間內收集。TCXOs很少老化,因為確定真正老化性能需要很長的測試時間。關于大組振蕩器長時間老化性能結果的研究通常沒有。
所示的許多測試結果都是振蕩器的,這些振蕩器要么超出生產訂單,要么不符合特定規格,要么在老化測試測量過程中表現出異常行為。必須注意的是,在頻率擾動下顯示的大量數據并不是常態,只是不顯示異常的振蕩器百分比的一小部分。然而,從這些振蕩器長時間收集的數據顯示出值得注意的有趣品質。事實上,一些振蕩器被有意留在老化系統中專門研究老化過程,并給出了這些振蕩器的數據。這些數據代表了真實世界的性能,因為它捕捉了日常和季節性變化的周期性變化,以及由于停電和預定的系統維護而引起的回撤的影響。重要的是要認識到石英晶體振蕩器的真正老化性能是由這些因素造成的。
2、方法
為每個振蕩器呈現的數據是通過大約每2小時平均1秒選通間隔的多達20個樣本來收集的。所有振蕩器的自動測試測量通過軟件控制連續進行,除非它們被加載到老化系統或從老化系統卸載每天。在此過程中,數據收集大約停止3至5小時。
中斷也可能是由于老化系統的日常維護工作或電力故障造成的。在這種情況下,振蕩器可以關閉幾個小時,數據收集可以停止幾天。
由于繪圖軟件的限制,通過刪除每隔一個數據點,所有顯示的數據都被縮小了。時間刻度已經標準化,最后一個數據點是2000年2月15日,代表x軸上標記為“天數”的第0天。“因此,在此日期之前獲取的所有數據點都由歸一化日期的負天數表示。這有助于定位多個單元的數據集共有的事件,從而將它們與單個振蕩器的行為隔離開來。
雜散點已從顯示的結果中去除,以便觀察感興趣的數據。雜散數據點的出現主要是由于老化的系統測試夾具插座和RF開關因過度使用而磨損。這導致錯誤的頻率讀數,這是由于沿著RF信號路徑的偶然間歇接觸。
3。老化
老化是在恒定的環境和系統級條件下振蕩器頻率隨時間的變化。石英晶體振蕩器的老化是由石英晶體本身或振蕩器組件中的其余部件的變化引起的。
石英晶體老化是多種因素綜合作用的結果。這些因素中的一些可能包括雜質的擴散和石英晶體、其保持器、玻璃或陶瓷基底以及用于安裝石英的粘合劑的除氣。它還可以包括從電極到石英表面的金屬遷移。這些事件涉及石英晶體質量的交換,這導致其頻率的變化。
導致石英晶體老化的其他因素包括晶體支架的應力釋放和顯微支架泄漏。雖然已知支架中的嚴重泄漏會導致頻率下降,但微觀泄漏對長期老化性能的影響并不清楚。
由于元件值在其壽命期間的變化而引起的頻率漂移可能直接影響振蕩回路或維持電路的穩態功能,例如電壓調節、烘箱控制和信號輸出級。
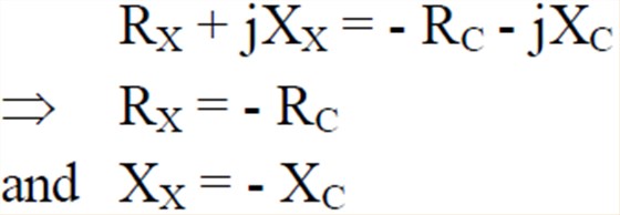
與振蕩回路或周圍電路內的元件有關的老化程度取決于工作頻率下石英晶體的電抗斜率。為了更好地理解振蕩回路中元件值漂移對老化性能的影響,我們需要考慮圖1所示的簡化阻抗框圖。
圖一
共振下,
對于不同的晶體切割和泛音,串聯諧振時的dX / df ( W / Hz )的一些典型值顯示在表1中。
電路元件的電抗負責振蕩回路的頻率。假設除石英晶體之外的所有元件的電抗在數年后以DXC變化。為了在新條件下發生共振,仍然必須滿足等式( 5 )。
因此,
與OCXO爐控制電路中的元件相關的老化程度取決于石英晶體的溫度系數。表2顯示了在AT和SC切割石英晶體的轉點溫度下的溫度系數C的近似值
由DT爐溫度變化引起的小數頻率Dff偏差由下式給出,
石英晶體振蕩器的老化性能是一個復雜的現象,是多種因素的累積效應,其中很少提到。其中一些因素的影響可能會相互抵消,而另一些因素可能主導老化性能。此外,這些因素的影響也可能以不同的速率衰減,導致它們在老化過程中的不同時間占主導地位。

TXC晶振,貼片晶振,7M晶振
TXC晶振,貼片晶振,7S晶振
TXC晶振,貼片晶振,7A晶振
微晶晶振,32.768K晶振,CM9V-T1A壓電石英晶體


