當我們在采購選擇晶振頻率元件時,首先要了解其詳細的各項參數,如頻率及負載電容是主要的,負載電容沒有選擇恰當,那么將無法與產品相匹配.如當訂購工作頻率為f(如32.768千赫或20兆赫)的振蕩器晶體時,通常僅規定工作頻率是不夠的.雖然晶體將以接近其串聯諧振頻率的頻率振蕩,但實際振蕩頻率通常與該頻率略有不同(在"并聯諧振電路"中稍高些).
1.所以,假設你有一個晶體振蕩器電路,你想購買晶體,當放置在這個電路中時,振蕩頻率是f.你需要告訴晶體制造商什么來完成這個?您是否需要發送振蕩器設計示意圖及其所有相關設計細節,例如電容,電阻,有源元件和布局相關雜散的選擇?幸運的是,答案是否定的.除了頻率f,所需要的只是一個數字,即負載電容C1.
2.什么是CL?
假設您的晶體振蕩器工作在所需的頻率f.在該頻率下,晶體具有復阻抗Z,對于工作頻率而言,這是晶體唯一重要的特性.因此,要使振蕩器在頻率f下工作,你需要在頻率f下具有阻抗Z的晶體.所以,在最壞的情況下,你只需要指定一個復數Z=R+jX.事實上,它甚至比這更簡單.
雖然原則上應該指定頻率為f的晶體電阻,但通常晶體間電阻的變化以及振蕩器對這種變化的靈敏度都足夠低,因此不需要指定電阻.這并不是說晶體電阻沒有作用;確實如此.我們將在第4節中進一步討論這一點.
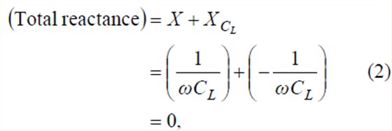
所以,剩下一個值來指定:f時的晶體電抗.所以,我們可以指定一個在20兆赫時電抗為400ω的晶體.然而,這通常是通過指定電容C1和等式來實現的其中我們已經設置ω=2πf.在物理上,在該頻率下,晶體和電容C1的串聯組合的阻抗具有零相位(等效地,具有零電抗或純電阻).參見圖1.要看到這一點,請考慮
其中第二步遵循等式(1)和電容C的電抗為-1/(ωC)的事實.
因此,確保適當振蕩頻率的任務是提供在指定頻率下具有所需電抗的元件(在這種情況下為晶體),該電抗由等式(1)用電容C1來表示.2例如,我們不是指定在20MHz下電抗為400ω的晶體,而是指定在20MHz下負載電容為20pF的晶體,或者更正常地,我們指定在20pF的負載電容下晶體頻率為20MHz.
在"并聯諧振電路"中,CL是正的,通常在5pF和40pF之間.在這種情況下,晶體工作在晶體串聯和并聯諧振頻率(分別為Fs和Fp)之間的窄頻帶.
雖然真正的"串聯諧振電路"沒有與其相關聯的負載電容[或者可能是等式(1)中的無限值,但是大多數“串聯諧振電路”實際上稍微偏離串聯諧振頻率工作,因此確實具有有限的負載電容(可以是正的或者負的).但是,如果該偏移很小,并且不希望指定負載電容,則可以忽略該偏移,也可以在指定頻率f內稍微偏移一點.
正如我們將在第4節中看到的,振蕩器和晶體決定CL.然而,晶體的作用相當弱,因為在零電阻的極限下,晶體在確定CL方面根本不起作用.在這種限制情況下,稱CL為振蕩器負載電容是有意義的,因為它完全由振蕩器決定.然而,當需要訂購晶體時,可以指定負載電容C1處的頻率為f的晶體,即這是晶體頻率的一個條件.因此,將CL稱為晶體負載電容是合理的.為了便于討論,我們簡單地避免了這個問題,并使用了負載電容一詞.
3.在CL處定義FL
現在我們把等式(1)作為我們對在給定負載電容下具有給定頻率的晶體的定義.
定義:當晶體在負載電容C1處的電抗X由等式(1)給出時,晶體在負載電容C1處具有頻率F1,其中ω=2πF1.
回想一下,在給定的模式下,晶體的電抗從負值,通過串聯諧振時的零點,增加到并聯諧振附近的大正值,在那里它迅速降低到大負值,然后再向零增加.(參見參考[1).)通過排除并聯諧振周圍的區域,每個電抗值都有一個單一的頻率.以這種方式,我們可以給定C1值來關聯頻率F1.因此,CL的正值對應于串聯和并聯諧振之間的頻率.CL的大負值對應于串聯諧振以下的頻率,而較小負值對應于并聯諧振以上的頻率.(見下面的等式(3).)
3.1.晶體頻率方程
那么,振蕩頻率在多大程度上取決于負載電容C1?我們可以通過確定晶體頻率F1如何取決于晶體負載電容C1來回答這個問題.人們可以很好地證明
(圖1)
其中C1和C0分別是晶體的運動電容和靜態電容.(參見參考[1]了解這一關系的推導和討論.)在本筆記中,我們將公式(3)稱為晶體頻率公式.這表明晶體振蕩器的工作頻率對其負載電容的依賴性以及對晶體本身的依賴性.具體而言,當負載電容從CL1變為CL2時,分數頻率變化由給出如圖1所示.

TXC晶振,貼片晶振,7M晶振
TXC晶振,貼片晶振,7S晶振
TXC晶振,貼片晶振,7A晶振
微晶晶振,32.768K晶振,CM9V-T1A壓電石英晶體


